Асуух бодлого (Математик,Геометр)
Зохицуулагчид: MissNoGood, Brain_Power
Re: Асуух бодлого (Математик,Геометр)
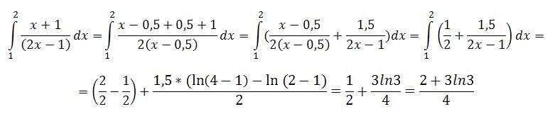
хүртвэр хуваарьт байгаа Х-н зэргүүд нь 1тэй тэнцүү байгаа тохиолдолд ихэвчлэн ингэж задалж бодно
Гилийн Хатан!!!
Re: Асуух бодлого (Математик,Геометр)
энэ хариу нь таарахгүй байна да.2дахыг нь бодоод өгчихRosana написал:
- nazist_bilguun
- • Moderator

- Бичлэгүүд: 2316
- Нэгдсэн: 9-р сар.30.09 11:08 pm
- Байршил: Сар жилүүд улиран өнгөрж Сиймхий тархины чавхдасууд нэг нэгээрээ тасардаг газар...
- Contact:
Re: Асуух бодлого (Математик,Геометр)
чи 2 бодлогоныхоо хариуг тавьдаа?
- nazist_bilguun
- • Moderator

- Бичлэгүүд: 2316
- Нэгдсэн: 9-р сар.30.09 11:08 pm
- Байршил: Сар жилүүд улиран өнгөрж Сиймхий тархины чавхдасууд нэг нэгээрээ тасардаг газар...
- Contact:
Re: Асуух бодлого (Математик,Геометр)
4 пи Язгуур доооооор 2 гарж болох юм
Re: Асуух бодлого (Математик,Геометр)
hehe. Huuhduud aldaatai bodoj bna. Asuuh bodlogoo "Matematikiin erunhii shalgaltand beltgegdched" gesen sedevt oruulj asuuval tailbarlaad bicheed ugii. 10 jiliinh bn uu, ih deed surguuliin too bn uu hamaagui shuu!
- nazist_bilguun
- • Moderator

- Бичлэгүүд: 2316
- Нэгдсэн: 9-р сар.30.09 11:08 pm
- Байршил: Сар жилүүд улиран өнгөрж Сиймхий тархины чавхдасууд нэг нэгээрээ тасардаг газар...
- Contact:
Re: Асуух бодлого (Математик,Геометр)
сэдэв сэдвээрээ л явсан нь дээр. ДАраа нь янзлах гээд бүүр муйхар болгочихдог юм.mDonna написал:hehe. Huuhduud aldaatai bodoj bna. Asuuh bodlogoo "Matematikiin erunhii shalgaltand beltgegdched" gesen sedevt oruulj asuuval tailbarlaad bicheed ugii. 10 jiliinh bn uu, ih deed surguuliin too bn uu hamaagui shuu!
Re: Асуух бодлого (Математик,Геометр)
asuusan integral ni 10 jiliin hureend ch ordog ih surguulid dahin sanuulah gej ordog bolhoor bichleg nemsen. Peace!
- nazist_bilguun
- • Moderator

- Бичлэгүүд: 2316
- Нэгдсэн: 9-р сар.30.09 11:08 pm
- Байршил: Сар жилүүд улиран өнгөрж Сиймхий тархины чавхдасууд нэг нэгээрээ тасардаг газар...
- Contact:
Re: Асуух бодлого (Математик,Геометр)
ДЭмий бичлэгүүд ч яахав надаа бодлогуудаа зааж өг л дөөmDonna написал:asuusan integral ni 10 jiliin hureend ch ordog ih surguulid dahin sanuulah gej ordog bolhoor bichleg nemsen. Peace!
Re: Асуух бодлого (Математик,Геометр)
Их дээд сургуулийн мат-ын бие даалт бодно. Чаддаг юмаараа ганц 2 халтуур хийнэ шүү... 88004428
Re: Асуух бодлого (Математик,Геометр)
Bi tegvel unegui bodoj ugii. Harin minii helsen sedevt asuugaarai.
Re: Асуух бодлого (Математик,Геометр)
similar minii asuusan 2 bodlogii saihan bodood ogoo
- nooj
- Өвөг Дээдсийн Сахиус Гишvvн

- Бичлэгүүд: 702
- Нэгдсэн: 9-р сар.19.10 10:49 pm
- Байршил: Dont Fight anyone if u dont gain something by winning
Re: Асуух бодлого (Математик,Геометр)
g(t)= 2e^(2-t)sin2+Us(t) za bodood ug Lt g ni olod ug
Re: Асуух бодлого (Математик,Геометр)
Энийг зөв бодсон байнаа. 2 дахь чинь ялт ч үгүй 0 гарч байна.Hurley написал:энэ хариу нь таарахгүй байна да.2дахыг нь бодоод өгчихRosana написал:
- nazist_bilguun
- • Moderator

- Бичлэгүүд: 2316
- Нэгдсэн: 9-р сар.30.09 11:08 pm
- Байршил: Сар жилүүд улиран өнгөрж Сиймхий тархины чавхдасууд нэг нэгээрээ тасардаг газар...
- Contact:
Re: Асуух бодлого (Математик,Геометр)
бодлогоо жаахандэлгэрэнгүй би гаргаж ойлгодоггүй ээ?nooj написал:g(t)= 2e^(2-t)sin2+Us(t) za bodood ug Lt g ni olod ug
Бодолтоо бичнэ үү сонирхох гэсэн юм.similar написал:Энийг зөв бодсон байнаа. 2 дахь чинь ялт ч үгүй 0 гарч байна.Hurley написал:энэ хариу нь таарахгүй байна да.2дахыг нь бодоод өгчихRosana написал:
Re: Асуух бодлого (Математик,Геометр)
Аливаа тоог 9-өөр үржүүлэхэд гарах хариуны цифрүүдийн эцсийн нийлбэр нь мөн 9-тэй тэнцүү байна. Үүнийг батлах хүн байна уу? Би дунд сургуульд байхдаа үүнийг анзаарсан боловч баталгааг гаргаж чадаагүй. Энэ тухай ямар нэг хийгдсэн ажил байдаг уу?
жишээ нь
2х9=18. 1+8=9
3х9=27. 2+7=9
5x9=45. 4+5=9
9х184=1656. 1+6+5+6=18=1+8=9 гэх мэт
жишээ нь
2х9=18. 1+8=9
3х9=27. 2+7=9
5x9=45. 4+5=9
9х184=1656. 1+6+5+6=18=1+8=9 гэх мэт
▰▰▰▰▰▰▰▰▰▰▰▰▰▰▰▰
- nazist_bilguun
- • Moderator

- Бичлэгүүд: 2316
- Нэгдсэн: 9-р сар.30.09 11:08 pm
- Байршил: Сар жилүүд улиран өнгөрж Сиймхий тархины чавхдасууд нэг нэгээрээ тасардаг газар...
- Contact:
Re: Асуух бодлого (Математик,Геометр)
Ямар 3 эсвэл 4 н оронтой тоонуудаас цифрүүдийн нийлбэрийг нь хасахад 9 д хуваагддаг тоо гардаг гэдгийг анзаарч байсан юм. Холбоотой ч байж магад.
- nazist_bilguun
- • Moderator

- Бичлэгүүд: 2316
- Нэгдсэн: 9-р сар.30.09 11:08 pm
- Байршил: Сар жилүүд улиран өнгөрж Сиймхий тархины чавхдасууд нэг нэгээрээ тасардаг газар...
- Contact:
Re: Асуух бодлого (Математик,Геометр)
1.Нэгэн төрлийн хавтгай L-ийн хүндийн төвийн координатыг ол.
(0;0)цэгээс (2^1/2 ; п/2) цэг хүртлэх p=2sin(x) муруйн хэсэг. ТУйлын координатын системд өгөдсөн юм байна.
2.L-Муруйн нум өгөгдсөн тэнрлэгийг тойрон эргэхэд үүсэх гадаргуугийн талбайг ол.
x^2=4+y ; y=2 шулуунаар огтлогдсон хэсэг. OY
3.Фи дүрс өгөгдсөн тэнхлэгийг тойрон эргэхэд үүсэх биеийн эзэлхүүнийг ол.
x=2cos(t) y=5sin(t) OY
4.Өгөгдсөн шугамын нумын уртыг ол.
y^2=x^5 x=5 шулуунаар огтлогдсон хэсэг.
(0;0)цэгээс (2^1/2 ; п/2) цэг хүртлэх p=2sin(x) муруйн хэсэг. ТУйлын координатын системд өгөдсөн юм байна.
2.L-Муруйн нум өгөгдсөн тэнрлэгийг тойрон эргэхэд үүсэх гадаргуугийн талбайг ол.
x^2=4+y ; y=2 шулуунаар огтлогдсон хэсэг. OY
3.Фи дүрс өгөгдсөн тэнхлэгийг тойрон эргэхэд үүсэх биеийн эзэлхүүнийг ол.
x=2cos(t) y=5sin(t) OY
4.Өгөгдсөн шугамын нумын уртыг ол.
y^2=x^5 x=5 шулуунаар огтлогдсон хэсэг.
Re: Асуух бодлого (Математик,Геометр)
2+√(5x-1)=3x eniig kvadrat devshuled x=(17+_√109)/6 tegeed shalgahdaa 2+(√5*17+√109)/18 eniig tsaash n yaj bodoh ve humuuse?
- nazist_bilguun
- • Moderator

- Бичлэгүүд: 2316
- Нэгдсэн: 9-р сар.30.09 11:08 pm
- Байршил: Сар жилүүд улиран өнгөрж Сиймхий тархины чавхдасууд нэг нэгээрээ тасардаг газар...
- Contact:
Re: Асуух бодлого (Математик,Геометр)
Х1 Х2 оо Язгууртай хариутай тэг чигт нь бичээ л болоо юм биш үү? тэгээд буцаагаад орлуулахад гарж л таараа шдэ. Бодлогынхоо өгүүлбэрийг гүйцэт бичдээ?hypnosis написал:2+√(5x-1)=3x eniig kvadrat devshuled x=(17+_√109)/6 tegeed shalgahdaa 2+(√5*17+√109)/18 eniig tsaash n yaj bodoh ve humuuse?
Re: Асуух бодлого (Математик,Геометр)
(17+_√109)/18 garaal boloo? tsaash ni yu bicheed bgan?
- nooj
- Өвөг Дээдсийн Сахиус Гишvvн

- Бичлэгүүд: 702
- Нэгдсэн: 9-р сар.19.10 10:49 pm
- Байршил: Dont Fight anyone if u dont gain something by winning
Re: Асуух бодлого (Математик,Геометр)
ene yostoi hugiin ineedtei amarhan yum asuuchihsan bnale hesegchij integral avchad laplace transform ashiglah bsin bnale harin nadaa neg asuudal garad ir leshunooj написал:g(t)= 2e^(2-t)sin2+Us(t) za bodood ug Lt g ni olod ug
Daraah differential tegshitgel deer huvurgusun laplace huvirgalt hiigel bolo gials higed uguurei bi talaas tsaasha yavulah gej nileen uzleeee
d^2y(t)/dt +3dy(t)/dt+2y(t)=5(t)
- DurSamj_77
- Ноёлогч Гишvvн

- Бичлэгүүд: 1026
- Нэгдсэн: 2-р сар.17.11 4:28 am
- Байршил: yu ch medehgvi negen
- Contact:
Re: Асуух бодлого (Математик,Геометр)
F(p)=(3p-1)/p(p+2)^2 orignal punktsig ol 1 f(t) amarhan baival enig bodoh ged vze
bvr amarhan bol oor hetsv bodlogo oruuli
bvr amarhan bol oor hetsv bodlogo oruuli
Emigiin sain nz
- nazist_bilguun
- • Moderator

- Бичлэгүүд: 2316
- Нэгдсэн: 9-р сар.30.09 11:08 pm
- Байршил: Сар жилүүд улиран өнгөрж Сиймхий тархины чавхдасууд нэг нэгээрээ тасардаг газар...
- Contact:
Re: Асуух бодлого (Математик,Геометр)
чи хаана ямар мэргэжлээр сурдаг юм бэ?amka_0224 написал:F(p)=(3p-1)/p(p+2)^2 orignal punktsig ol 1 f(t) amarhan baival enig bodoh ged vze![]()
bvr amarhan bol oor hetsv bodlogo oruuli
- DurSamj_77
- Ноёлогч Гишvvн

- Бичлэгүүд: 1026
- Нэгдсэн: 2-р сар.17.11 4:28 am
- Байршил: yu ch medehgvi negen
- Contact:
Re: Асуух бодлого (Математик,Геометр)
k1ra neg danda yamarch heregvi yum end bichej bha bolih heregtei shde 
Emigiin sain nz






